2016济南中考放榜!最高分560 附完整一分一段表
摘 要:6月29日上午9时,济南市2016年度中考考试成绩发布。满分570分的考卷,最高分考生考了560分。市中招办同时发布“全市初中学校学生成绩一分一段表”及“市内指标生分配区域初中学校学生成绩一分一段表”。
舜网讯 6月29日上午9时,济南市2016年度中考考试成绩发布。
考生可通过三种途径获知本人成绩:
1考生可凭准考证到原初中毕业学校签字领取考试成绩通知单,外地返济及往届生可与学籍所在县(市)区教育局教育科联系。
2考生可登录济南市教育局网站(www.jnedu.gov.cn)进行个人成绩查询;
3考生可登陆初中学考网上报名网站(www.xkbm.jnedu.cn)进行个人成绩查询。
普通高中最低录取提档线划定
市中招办公告,按照普通高中招生计划及考生数量,确定济南市普通高中最低录取提档分数线为400分。
满分570分的考卷,最高分考生考了560分。
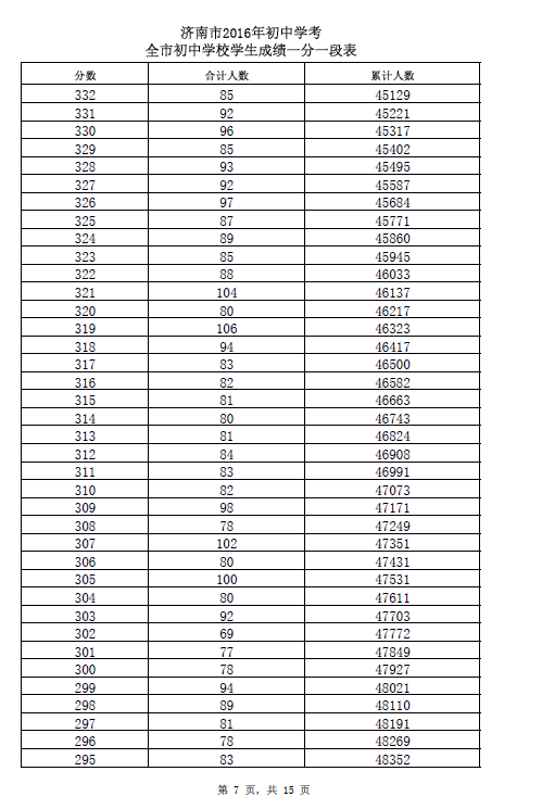
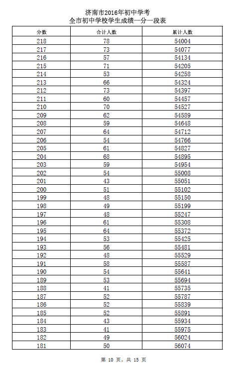
考生成绩一分一段表
29日上午,市中招办同时发布“全市初中学校学生成绩一分一段表”及“市内指标生分配区域初中学校学生成绩一分一段表”。
全市初中学校学生成绩一分一段表















相关新闻
免责声明:凡本网注明“来源:XXX(非舜网)”的作品,均转载自其它媒体,转载目的在于传递更多信息,并不代表本网赞同其观点和对其真实性负责。本网转载其他媒体之稿件,意在为公众提供免费服务。如稿件版权单位或个人不想在本网发布,可与本网联系,本网视情况可立即将其撤除。
